| 일 | 월 | 화 | 수 | 목 | 금 | 토 |
|---|---|---|---|---|---|---|
| 1 | 2 | |||||
| 3 | 4 | 5 | 6 | 7 | 8 | 9 |
| 10 | 11 | 12 | 13 | 14 | 15 | 16 |
| 17 | 18 | 19 | 20 | 21 | 22 | 23 |
| 24 | 25 | 26 | 27 | 28 | 29 | 30 |
| 31 |
- codetree
- 동적계획법
- 장고
- 파이썬
- minimum spanning tree
- 백트래킹
- Planned
- django
- Bellman-Ford
- 실습
- 함밥
- BFS
- DP
- 종합설계
- Kruskal
- DFS
- 모각코
- MyPlaylist
- 프로그래머스
- 최소스패닝트리
- 데이터베이스
- 코드트리
- 백준
- 소프트웨어공학
- programmers
- B대면노래방
- 마라마라빔
- 알고리즘
- SQL
- 그리디알고리즘
- Today
- Total
Leta Learns
Tree DP, Bitmasking DP (동적계획법 심화) 본문
1. Tree DP
Tree : cycle이 없는 그래프 (서로 다른 두 노드를 잇는 길이 하나)
=> 그래프처럼 DP 기법 적용 가능
트리에서 DP는 서브트리에서 구한 해를 이용하여 전체 트리의 해를 구하는 방식으로 진행된다.
트리는 비선형 구조이므로 DP를 하기 전에 탐색 순서를 미리 정해주는 것이 일반적.
=> 보통 탐색 순서는 DFS를 돌면서 나오는 트리를 기준으로 함.
기본적으로 Top-down 방식으로 코드 작성.
=> 보통의 DFS처럼 leaf 노드까지 순회하고, leaf 노드의 값을 알아낸 뒤 상위 노드의 값들을 알아내는 방식.
Tree DP 예제
<백준 15681 - 트리와 쿼리> https://www.acmicpc.net/problem/15681
15681번: 트리와 쿼리
트리의 정점의 수 N과 루트의 번호 R, 쿼리의 수 Q가 주어진다. (2 ≤ N ≤ 105, 1 ≤ R ≤ N, 1 ≤ Q ≤ 105) 이어 N-1줄에 걸쳐, U V의 형태로 트리에 속한 간선의 정보가 주어진다. (1 ≤ U, V ≤ N, U ≠ V)
www.acmicpc.net



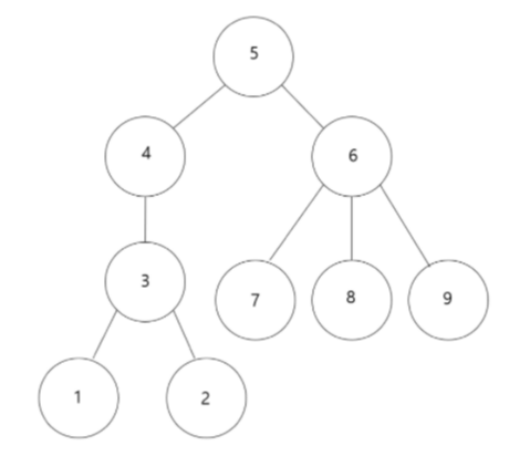
예를 들면, 6번 노드를 루트로 탐색을 진행할 때 그림에서 node[6] 에는 5, 7, 9, 8이 연결되어 있지만 코드 흐름상 6과 연결된 5번 노드는 이미 방문한 적이 있기 때문에 부모 노드인 5번으로는 가지 않고 방문하지 않은 자식 노드들(7, 8, 9)만 count한다.
또한 3을 루트로 하는 서브트리는 하위 노드이자 leaf node인 1로 간 뒤 1에 연결된 다음 노드가 없으므로 반환되고, dp[3]에는 dp[3] + dp[1] = 2 값이 저장된다. 그 뒤에 또 다른 하위 노드인 2에 간 뒤, 2에 연결된 다음 노드가 없으므로 반환되고 dp[3]에는 결과적으로 dp[3] + dp[2] = 3 값이 저장된다.
2. Bitmasking DP
Bitmasking : 정수의 이진수 표현을 활용한 기법
Bit 연산
- AND 연산 (&) : 1010 & 1111 = 1010
- OR 연산 (|) : 1010 | 1111 = 1111
- XOR 연산 (^) : 1010 ^ 1111 = 0101
- NOT 연산 (~) : ~1010 = 0101
- SHIFT 연산(<<, >>) : 001010 << 2 = 101000, 001010 >> 2 = 000010
Bit 연산을 이용한 기능
- 특정 비트를 0으로 만든다 (reset) : 1110 & ~(1<<2) // 2번 비트만 0으로 만든다. => 1110 & 1011 = 1010
- 특정 비트를 1로 만든다 (set) : 1000 | 1<<1 // 1번 비트만 0으로 만든다. => 1000 | 0010 = 1010
- 특정 비트를 반전시킨다 (toggle) : 1110 ^ (1<<2) // 2번 비트를 반전시킨다. => 1110 ^ 0100 = 1010
- 특정 비트의 값을 검사한다 : 1010 & (1<<2) => 1010 & 0100 = 0, 1010 & (1<<3) => 1010 & 1000 = 1000 (=> i번째 비트값이 0이라면 결과값이 0)
- Bitmasking DP 활용 방법
Bitmasking은 보통 제한이 굉장히 작게 걸려 있고, 모든 경우를 다 표현하고 싶을 때 사용한다.
Bit를 사용하기 때문에 지수 스케일로 증가한다. (선형 복잡도 나올 수 x. linear하게 나오지 않고 exponential로 증가하기 때문에 제한이 작게 걸려있는 문제에서만 사용 가능).
어떠한 한 원소에 대해 Yes/No인 상황만 표현할 수 있다.

Bitmasking DP 예제
<백준 2098 - 외판원 순회> https://www.acmicpc.net/problem/2098
2098번: 외판원 순회
첫째 줄에 도시의 수 N이 주어진다. (2 ≤ N ≤ 16) 다음 N개의 줄에는 비용 행렬이 주어진다. 각 행렬의 성분은 1,000,000 이하의 양의 정수이며, 갈 수 없는 경우는 0이 주어진다. W[i][j]는 도시 i에서 j
www.acmicpc.net


출처 : https://jenndph.tistory.com/2
'Computer Science > Algorithm' 카테고리의 다른 글
| Dijkstra Algorithm (0) | 2021.07.30 |
|---|---|
| Bellman-Ford Algorithm (0) | 2021.07.28 |
| Union - Find (합집합 찾기) (0) | 2021.07.22 |
| Kruskal Algorithm (0) | 2021.07.21 |
| Prim Algorithm (0) | 2021.07.21 |